Back to haptic mathematics!
Joint Distributions
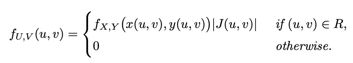
I tried to visualize the way the Jacobian quantifies the stretching of space, because we use it in the ‘change of variables’ transformation formula.
I somewhat understand how the ‘green rectangle’ slightly overshoots the amount of space taken up by the new parallelogram, with the ‘red rectangle’ providing a necessary correction. I currently lack a rigorous proof beyond this intuition, though.
Naturally, I then tried finding the new joint PDF following a ‘change of variables’ transformation. My biggest oversight was failing to consider a) the support of the original RVs, and b) the support of the new RVs. For example, when we have U = X / (X + Y), now U will only have support (0,1).
There’s also this matter of recognizing the distribution at the end. I think I really need to drill recognizing distributions and their CDFs, PDFs, MGFs (and what else?). In this case, we see the PDF of Gamma(2, λ) at the end!
But I had practically forgotten the Gamma distribution, (and that the exponential is a Gamma with ‘shape’ r (I did remember that Gamma generalizes exponential, but not how exactly).
I then looked at a ‘counterexample’ where we can’t guarantee independence, because support for the PDF is limited (to |w| < v).
We practice marginalization: holding one variable fixed while integrating over the other. Here, holding w fixed gives the constraints/bounds/limits on v.

Conditional Distributions
In cases with uniform distribution over some area, it’s very easy to work in terms of the underlying area. Here, we can use area to find the CDF, differentiate CDF to find the PDF, and apply integration to find expectation of this continuous variable.
Conditional distributions can get pretty confusing. I asked Claude to throw me a few problems (good practice!). It turns out I wasn’t great at identifying limits of integration, initially.
I also failed to recognize a shifted exponential. Noted: I also need to drill recognizing shifted distributions, as well as special cases (like where some parameter is set to 1, rendering the final form fairly simple).
Distribution Drills
Claude drilled me on distributions, and I realized I don’t need normalizing constant when recognizing what shape a distribution takes.
It’s past 19:30, so I can head back into exploration! On the plane last night, I was re-reading ‘Embedded Agency’. It’s a pretty good lit review. There exist other gems, particularly in the footnotes.













